- Research
- Open Access
- Published:
CGPredictor: a systematic integrated analytic tool for mining and examining genome-scale cancer independent prognostic epigenetic marker panels
BMC Systems Biology volume 7, Article number: S10 (2013)
Abstract
Background
Tumor biomarkers are potentially useful in several ways such as the identification of individuals at increased risk of developing cancer, in screening for early malignancies and in aiding cancer diagnoses; tumor biomarkers may also be used for determining prognosis, predicting therapeutic response, patient tracking following curative surgery for cancer and for monitoring therapy. Epigenetic alterations, especially aberrant DNA methylation, are recognized as common molecular alterations in a variety of tumors and also occur during the development of tumors. The Cancer Grade Predictor (CGPredictor) is an extendable package with functions designed to facilitate systematic integrated and rapid analysis of high-throughput methylation through the use of most self-similarity subgroups of patients supported by various validating examinations with regarded to survival outcome to obtain the identity of the target predictor.
Results
We used high-grade serous ovarian cancer (HGSOC) and invasive breast carcinoma (BRCA) to demonstrate the usefulness of the CGPredictor package. The clustering results and the identity predictors worked well and efficiently in producing significant results after various tests were used to validate the usefulness of CGPredictor package. Also, some of the markers for either the HGSOC or BRCA marker panel have been previously reported to reveal significant results. Even when performed using a different platform with an independent large population BRCA dataset for validation, the identity predictor provided an accurate assessment of patient conditions and produced significant results.
Conclusions
CGPredictor package is not a customized analysis tool designed specifically for the identification of only one or a few specific types of cancer but can be applied more broadly; moreover, the results indicate that the extracted predictors may worthy of consideration for further clinical testing to identify their potential usefulness for clinical molecular diagnosis and targeted treatments of patients with HGSOC and BRCA. So, the use of CGPredictor is feasible for examining the statistical significance of specific markers of interest and shows great potential for use with other types of cancers for cancer biomarker mining.
Background
DNA methylation has attracted a great amount of interest in the field of cancer research and is currently considered to be a common abnormality found during tumor initiation and subsequent cancer progression [1–3]. DNA methylation of CpG islands regulates gene expression patterns in cancers [2, 4]. Also, DNA hypermethylation of promoter-associated CpG islands of tumor suppressor, which leads to transcriptional silencing of these genes, has been the most studied epigenetic alteration in human neoplasia [4]. Methylation patterns and gene expression profiles can be measured on a genome-scale with microarrays which enable integration of these data for further identification of genes that are crucial to cancer progression.
An early diagnosis is critical for the successful treatment of many types of cancer. DNA methylation is closely related to the development of cancer [5]. Since DNA methylation occurs early and can be detected in body fluids, it may be of potential use in the early detection of tumors and for determining the prognosis of some patients [1–3]. The potential to use DNA methylation to determine a patient's prognosis, to predict therapeutic response, for surveillance following curative surgery for cancer and to monitor affected critical genes presents researchers with an attractive option for exploring the clinical use of DNA methylation during the treatment of malignancies. A preventive strategy is needed for patients allowing the use of biomarkers designed to guide physicians in the placement of patients into appropriate screening or surveillance programs for the early detection of cancers. Hence, more reliable markers associated with a large population-base of tumors need to be developed for widespread use in the diagnosis and treatment of cancer. The primary goal of CGPredictor package is to identify and examine biomarkers from strong self-similarity pattern on patients' profiles and the package can be paired with various validation methods designed to facilitate the identification of distinct phenotypes in a variety of cancers.
To demonstrate the utility of CGPredictor, we analyzed alterations in DNA methylation in different cancers of 282 patients with HGSOC [6] as well as 241 patients with BRCA [7] using the Cancer Genome Atlas portal. Tables 1 and 2 show the clinical characteristics of the patients considered in this study. We believe CGPredictor allows researchers to use the first systematic approach which can be used to support the mining and examining cancer biomarker candidates followed with various validation analyses and we found it to be highly efficient (see Table 4). Whether performed using HGSOC or BRCA patients, the statistical significance of the predictor and the clustering genes can be examined; also known cancer markers could be identified in the predictors based on previous reports in the literature.
Methods
The use of CGPredictor requires several major steps. In the clustering step, the function in the CGPredictor package called "kmeans" is used to cluster samples. In the biomarker selection step, the user can set parameters to choose hypermethylation/hypomethylation corresponding to the downregulated/upregulated intensity between the clustered phenotypes. During the predictor performance examination step, the Cox test is calculated with the clustered clinical outcome of distinct phenotypes and the random selection test can be performed for further validation to increase confidence that gene sets have not been selected randomly. Once validated, a bootstrap test was used to examine the significance between the clustering genes and the phenotypes.
First, the beta value matrix is used for the most self-similarity pattern on patients' profiles clustered together by kmeans function in CGPredictor. To extract the biomarker candidates, gene name is used to link the methylation and gene expression matrices. Also, the mean of gene intensity in each cluster group was determined both for gene expression and DNA methylation for subsequent molecular intensity comparison between clustered phenotypes. Then, the filter function in the CGPredictor package can be used to obtain the biomarker candidates which are predictors for corresponding hypermethylation/hypomethylation to downregulated/upregulated genes between phenotypes. Then, the function in CGPredictor for Kaplan-Meier (KM) curves and Cox test with any observed significant differences in survival for different patient groups can be used to estimate the performance of the predictors. To increase the level of statistical confidence and for further validation of the relationship found between clustering genes and the phenotypes and the significance of the predictor, bootstrap and random selection tests can be performed, respectively. The relationship between clustering genes and the distinct subtype of patients could be measured using the bootstrap test. The bootstrap sample datasets are from the original cancer dataset; we used sampling with replacement with a default iteration of 1,000 times. Also, the original clustering genes were used for kmeans clustering in each rebuilt sample set. Then, the sensitivity would be performed for measuring the statistical significance among the 1,000 iteration sampling dataset. Moreover, the random selection test function is designed to randomly select the same number of genes as were originally extracted as biomarker candidates for a specific cancer. The function in CGPredictor can also be used to efficiently test the extracted predictor's significance with the same default of 1,000 iterations (see Table 4). The programing structure in CGPredictor functions is user friendly. It will allow for future procedure extension as long as the development of the new packages follow the recommended input and output methods for data structure of every function of CGPredictor. Also, CGPredictor is highly extendible for user modification with any of the functions which can be implemented by R. CGPredictor is not limited to DNA methylation microarrays and is scalable to various kinds of microarray analysis problems. However, our integrated system is limited to use on MAC and Windows operating systems and cannot be used on Linux systems, for example.
Measuring how confident one can be of the usefulness of the extracted biomarker candidates is very important in cancer biomarker mining. Aside from some basic processing functions in our integrated system, the statistical validation functions play a critical role for examining the extracted biomarker candidates. Users can measure how their confidence in the relationship found between feature and the clustered phenotypes as well as the ability of the predictor to examine the quality and significance of the biomarker candidates they extracted using our package, CGPredictor.
Results
Study population
We used the CGPredictor package to analyze 282 HGSOC and 241 BRCA patients using Infinium HumanMethylation27K (Illumina Inc., San Diego, CA, USA) including 27,578 CpG dinucleotides spanning about 14,000 genes accessed from the Cancer Genome Atlas (TCGA) data portal. Furthermore, an analysis of another large independent dataset including 596 BRCA patients was analyzed on a different platform, HumanMethylation450k; this was performed for validation in the proposed R package. In earlier work, the hESC specific gene panel has been found to be enriched in poorly differentiated tumors[8]. Based on the previous reports [8, 9], we then compiled related hESC gene sets. ESC over-expressed genes [10], Nanog, Oct4 and Sox2 targets [11], Polycomb targets in hESCs [12], and Myc targets [13, 14]. Then, the primary analysis was limited to the common gene set including a total of 3,800 genes for subsequent analysis.
High-grade serous ovarian cancer data analysis and various validations
After kmeans clustering, the two extreme phenotypes which included the most normal tissues and the most abnormal tissues were labeled as O-CIMP-negative (high grade serous ovarian cancer CpG island methylator phenotype) and O-CIMP-positive, respectively. Toyota, et al. first characterized a CpG island methylator phenotype (CIMP) in human colorectal cancer [15]. When hypermethylated and downregulated genes in HGSOC were retrieved, the 43 extracted genes (as predictor in HGSOC) included SOX1, CALCA, DCC, GATA4, and NID2, which are the five genes known to be connected to HGSOC. Aside from the five of 43 biomarker candidates which have been reported to have significant usefulness, the KM curve and Cox test for the specific phenotype distinction had a p-value of 0.01647 (Figure 1). This indicates the distinct phenotypes clustered by the extracted predictor are significantly different from each other. Furthermore, the predictor for HGSOC were also significant (p < 0.0001 after 1,000 iterations) when genes were randomly selected for examining the significance of the extracted predictor. After the bootstrapping with 1,000 iterations, the data was found to be statistically significant (p < 0.0001) verified the significance of the clustering results. These results showed that using an extracted predictor from CGPredictor package defined by DNA methylation status is adequate for finding an independent predictor for determining cancer phenotype. Also, the usefulness of the predictor is worth further examination during future clinical testing.
The relationship between O-CIMP status and patient outcome clustered by the predictor of HGSOC. O-CIMP-positive (blue lines) and O-CIMP-negative (red) is shown for each KM survival curve. The distinct DNA methylation phenotype within HGSOC patients was identified; a significantly better survival was observed for O-CIMP-negative patients when compared to O-CIMP-positive patients.
Breast cancer data analysis and various validations
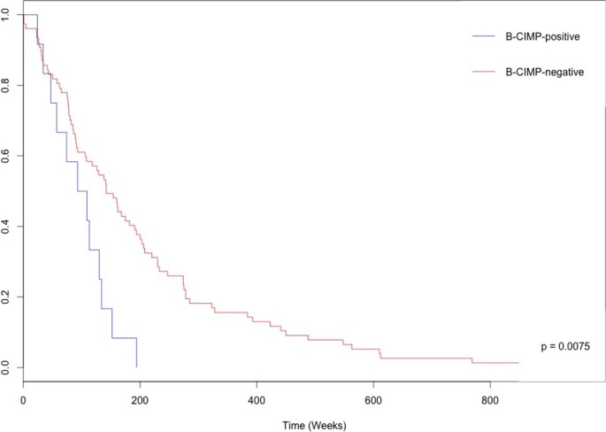
We also considered the 241 BRCA patients which were followed for DNA methylation, mRNA expression and datasets of clinical records as another way of validating the usefulness of CGPredictor. The two distinct phenotypes, B-CIMP-negative (BRCA CpG island methylator phenotype) and B-CIMP-positive were obtained after clustering. After using the same processes as used for HGSOC, ten genes were filtered out as predictors. Among these ten genes, BMP6 and GSTP1 have previously been well documented as exhibiting tumor-specific methylation alterations. The two distinct phenotypes were assessed as significant (p = 0.0075, Figure 2), after using the function for conducting a Cox test in CGPredictor. The result indicates the gene panel remained a significant predictor of the two distinct phenotypes in patients with BRCA. Furthermore, both the bootstrap test function and the random selection test produced significant results (p < 0.0001); the former was implemented in BRCA for examining the relationship between genes for clustering and the distinct phenotypes and the latter test was used for examining the significance of the predicted predictor using randomly selected genes for 1000 repetitions. The result shows the clustering result performed by those clustering genes and the extracted predictor for BRCA were significant.
KM survival curve for the distinct BRCA phenotype. The significantly better survival for B-CIMP-negative (red) patients compared to B-CIMP-positive (blue) patients was also observed from the plot data; the significant difference between phenotypes was assessed by the predictor evaluated from CGPredictor.
Furthermore, in addition to the support from various validation analysis results and when considering some biomarker candidates which have been significantly reported previously, we used another large independent dataset which was analyzed on a different platform. Specifically, HumanMethylation450k, was performed on 596 BRCA patients in the CGPredictor R package. Table 3 shows the clinical characteristics of those patients. The Cox test supported the use of the identity predictor as a feasible and significant (p = 0.01798) predictor which could distinguish the two phenotypes very well for BRCA (Figure 3). The results indicate the devised CGPredictor package, when supported with the various validation methods, could accurately identify a reliable and genome scale cancer independent prognostic epigenetic marker panel. Also, CGPredictor is not simply a tool that custom designed for identifying a specific cancer. CGPredictor can be broadly applied in biomarker mining for various types of cancer.
Discussion
For analysis of the HGSOC and BRCA patient data, CGPredictor package was used to group the most self-similarity pattern on patients' profiles with cancer as subgroups and allowed the identification of 43 and 10 genes as predictors for HGSOC and BRCA, respectively. Significant survival differences were seen in the two distinct phenotypes defined by DNA methylation status (Figure 1 and 2). Previous reports have identified filtered hypermethylation and downregulated genes including SOX1, CALCA, DCC, NID2, and GATA4 as significant HGSOC markers. As for the predictor for BRCA, GSTP1 and BMP6 both of these have previously been reported to be significantly related to the presence of BRCA.
Based on these results, to test to see if the relationship between the established clustering gene and the phenotypes was significant, we used bootstrapping with 1,000 iterations; for both HGSOC and BRCA, the clustering results were statistical significance of the clustering result. The identity predictors for each specific type of cancer were examined with the randomly selected genes for the same number of extracted markers in specific cancers for 1,000 iterations. For both the bootstrap test and the random selection test use here, the results were significant (p < 0.0001). Moreover, the predictor for BRCA was shown to be capable of indicating significant variations in survival rates using a different independent large population dataset performed using Infinium HumanMethylation450 (Figure 3). These results indicate that the extracted predictor and the clustering results examined from various validations all produce reliable results using CGPredictor; also the CGPredictor package has very good potential for use in mining and examining independent prognostic epigenetic marker panels for other cancers.
When retrieving hypermethylated and downregulated genes indicative of HGSOC, the 43 selected genes includes five which have been previously reported to be connected to HGSOC: SOX1, CALCA, DCC, GATA4, and NID2. Sox domain proteins are a class of developmentally important transcriptional regulators related to the mammalian testis determining factor SRY [16]. Sox B1 group genes, Sox1, Sox2, and Sox3, are involved in neurogenesis in various species and only the overexpression of Sox1 in cultured neural progenitor cells is sufficient to induce neuronal lineage commitment [17]. The methylation of SOX1 has been reported as being correlated with the recurrence of ovarian cancer and with overall survival rates for patients with ovarian cancer [18]. As for the gene GATA4, it is expressed in most organs and plays a critical role in the development of these organs [19]. GATA4 is initially expressed during the formation of extraembryonic endoderm differentiated from the pluripotent embryonic stem cells of the inner cell mass during early embryonic development [20] and is also expressed in human ovarian epithelial cells [21, 22]. However, GATA4 is often lost in ovarian cancer cells [21, 23]. The GATA4 gene is believed to dictate distinct pathological pathways leading to serous ovarian carcinomas [24]. Nidogen-2 (NID2) is a basement membrane protein. The basement membrane plays an important role in maintaining tissue organization and compartmentalization [25]. Thus, either removal or disruption of the integrity of the basement membrane creates an invasion-permissive environment, often promoting cancer cell proliferation and invasion [26, 27]. The loss of nidogen expression has been shown to have a potential pathogenic role in colon and stomach tumorigenesis [28]. Also, the NID2 is reported to be a biomarker for ovarian cancer and has been reported to be closely correlated with CA125 [29]. DCC (Deleted in Colorectal Carcinoma) is an important tumor suppressing gene. DCC is a metastasis suppressor gene which targets both proinvasive and survival pathways in a cumulative manner in combination with other genes [30]. Previous report indicated 52% of malignant ovarian cancers did not express the DCC gene, and also suggested a significant correlation exists between DCC expression and ovarian cancer [31]. As for the promoter of CALCA, it was also informative for differentiating methylation between the early stages of ovarian disease and the healthy maintenance of control [32].
In related analysis, two well-known genes are among the ten extracted biomarker candidates which is predictor of BRCA. For instance, BMP6 and GSTP1 are involved in signal transduction and cell detoxification, respectively. These two genes are two of the top ten hypermethylated genes which have been identified and are used to distinguish between cancerous and normal tissues [33] and different kinds of cohorts have been used for these purposes [34]. Both papers [33, 34] suggested the genes might be useful predictors for developing epigenetic-based predictive and prognostic biomarkers for breast cancer. A previous study has also tested from women with palpable lesions suspicious of breast cancer for aberrant promoter hypermethylation, and the GSPT1 candidate gene can be easily detected in fine needle aspirated washings. Promoter hypermethylation in benign and malignant lesions was more commonly found in GSPT1 than the reported candidate genes [35]. Another previous study determined the frequency of aberrant methylation of GSTP1 candidate gene in primary breast cancer tissue for patients with predominantly advanced cancers and suggested that GSTP1 is potentially important in the early diagnosis of breast cancer [36].
Conclusions
The detection of cancer-specific alterations in DNA methylation warrants further investigation because it provides a potential benefit in the early diagnosis of cancer as well as in the evaluation of the prognosis and therapeutic responsiveness of patients. We developed an effective and flexible tool for mining and examining predictors supported by systematic analysis. In addition to efficiently performing the analysis, the CGPredictor package has a variety useful functions which can assist researchers in examining the statistical significance of predictors/specific genes of interest as well as clustering results. With these significant results and based on the fact that some significant genetic markers have been reported previously in the literature for both HGSOC and BRCA, our findings provide further support for idea that CGPredictor package has great potential for mining and examining genome scale independent prognostic epigenetic marker panels for various cancers and also support the potential of the retrieved predictors future clinical testing.
Availability
CGPredictor R package is implemented in R and is freely available at http://goo.gl/DVqni. A vignette with detailed descriptions of the functions and examples is included.
Abbreviations
- CGPredictor:
-
Cancer Grade Predictor
- HGSOC:
-
high-grade serous ovarian cancer
- BRCA:
-
breast invasive carcinoma
- KM:
-
Kaplan-Meier
- TCGA:
-
the Cancer Genome Atlas
- O-CIMP:
-
high-grade serous ovarian cancer CpG island methylator phenotype
- CIMP:
-
CpG island methylator phenotype
- B-GIMP:
-
breast invasive carcinoma CpG island methylator phenotype
- NID2:
-
Nidogen-2
- DCC:
-
Deleted in Colorectal Carcinoma.
References
- 1.
Das PM, Singal R: DNA Methylation and Cancer. Journal of Clinical Oncology. 2004, 22: 4632-4642. 10.1200/JCO.2004.07.151.
- 2.
Kim M, Lee J, Sidransky D: DNA methylation markers in colorectal cancer. Cancer and Metastasis Reviews. 2010, 29: 181-206. 10.1007/s10555-010-9207-6.
- 3.
Heyn H, Esteller M: DNA methylation profiling in the clinic: applications and challenges. Nat Rev Genet. 2012, 13: 679-692. 10.1038/nrg3270.
- 4.
Esteller M: Epigenetics in Cancer. New England Journal of Medicine. 2008, 358: 1148-1159. 10.1056/NEJMra072067.
- 5.
Jones PA, Baylin SB: The fundamental role of epigenetic events in cancer. Nat Rev Genet. 2002, 3: 415-428.
- 6.
Network TCGAR: Integrated genomic analyses of ovarian carcinoma. Nature. 2011, 474: 609-615. 10.1038/nature10166.
- 7.
Network TCGAR: Comprehensive molecular portraits of human breast tumours. Nature. 2012, 490: 61-70. 10.1038/nature11412.
- 8.
Ben-Porath I, Thomson MW, Carey VJ, Ge R, Bell GW, Regev A, Weinberg RA: An embryonic stem cell-like gene expression signature in poorly differentiated aggressive human tumors. Nat Genet. 2008, 40: 499-507. 10.1038/ng.127.
- 9.
Sperger JM, Chen X, Draper JS, Antosiewicz JE, Chon CH, Jones SB, Brooks JD, Andrews PW, Brown PO, Thomson JA: Gene expression patterns in human embryonic stem cells and human pluripotent germ cell tumors. Proc Natl Acad Sci U S A. 2003, 100: 13350-13355. 10.1073/pnas.2235735100.
- 10.
Assou S, Le Carrour T, Tondeur S, Ström S, Gabelle A, Marty S, Nadal L, Pantesco V, Réme T, Hugnot JP: A Meta-Analysis of Human Embryonic Stem Cells Transcriptome Integrated into a Web-Based Expression Atlas. STEM CELLS. 2007, 25: 961-973. 10.1634/stemcells.2006-0352.
- 11.
Boyer LA, Lee TI, Cole MF, Johnstone SE, Levine SS, Zucker JP, Guenther MG, Kumar RM, Murray HL, Jenner RG: Core Transcriptional Regulatory Circuitry in Human Embryonic Stem Cells. Cell. 2005, 122: 947-956. 10.1016/j.cell.2005.08.020.
- 12.
Lee TI, Jenner RG, Boyer LA, Guenther MG, Levine SS, Kumar RM, Chevalier B, Johnstone SE, Cole MF, Isono K-i: Control of Developmental Regulators by Polycomb in Human Embryonic Stem Cells. Cell. 2006, 125: 301-313. 10.1016/j.cell.2006.02.043.
- 13.
Figueroa ME, Skrabanek L, Li Y, Jiemjit A, Fandy TE, Paietta E, Fernandez H, Tallman MS, Greally JM, Carraway H: MDS and secondary AML display unique patterns and abundance of aberrant DNA methylation. Blood. 2009, 114: 3448-3458. 10.1182/blood-2009-01-200519.
- 14.
Li Z, Van Calcar S, Qu C, Cavenee WK, Zhang MQ, Ren B: A global transcriptional regulatory role for c-Myc in Burkitt's lymphoma cells. Proc Natl Acad Sci U S A. 2003, 100: 8164-8169. 10.1073/pnas.1332764100.
- 15.
Toyota M, Ahuja N, Ohe-Toyota M, Herman JG, Baylin SB, Issa J-PJ: CpG island methylator phenotype in colorectal cancer. Proc Natl Acad Sci U S A. 1999, 96: 8681-8686. 10.1073/pnas.96.15.8681.
- 16.
Bowles J, Schepers G, Koopman P: Phylogeny of the SOX Family of Developmental Transcription Factors Based on Sequence and Structural Indicators. Developmental Biology. 2000, 227: 239-255. 10.1006/dbio.2000.9883.
- 17.
Kan L, Israsena N, Zhang Z, Hu M, Zhao L-R, Jalali A, Sahni V, Kessler JA: Sox1 acts through multiple independent pathways to promote neurogenesis. Developmental Biology. 2004, 269: 580-594. 10.1016/j.ydbio.2004.02.005.
- 18.
Su H-Y, Lai H-C, Lin Y-W, Chou Y-C, Liu C-Y, Yu M-H: An epigenetic marker panel for screening and prognostic prediction of ovarian cancer. Int J Cancer. 2009, 124: 387-393. 10.1002/ijc.23957.
- 19.
Kuo CT, Morrisey EE, Anandappa R, Sigrist K, Lu MM, Parmacek MS, Soudais C, Leiden JM: GATA4 transcription factor is required for ventral morphogenesis and heart tube formation. Genes & Development. 1997, 11: 1048-1060. 10.1101/gad.11.8.1048.
- 20.
Capo-chichi CD, Rula ME, Smedberg JL, Vanderveer L, Parmacek MS, Morrisey EE, Godwin AK, Xu X-X: Perception of differentiation cues by GATA factors in primitive endoderm lineage determination of mouse embryonic stem cells. Developmental Biology. 2005, 286: 574-586. 10.1016/j.ydbio.2005.07.037.
- 21.
Capo-chichi CD, Roland IH, Vanderveer L, Bao R, Yamagata T, Hirai H, Cohen C, Hamilton TC, Godwin AK, Xu X-X: Anomalous Expression of Epithelial Differentiation-determining GATA Factors in Ovarian Tumorigenesis. Cancer Research. 2003, 63: 4967-4977.
- 22.
Caslini C, Capo-chichi CD, Roland IH, Nicolas E, Yeung AT, Xu XX: Histone modifications silence the GATA transcription factor genes in ovarian cancer. Oncogene. 2006, 25: 5446-5461. 10.1038/sj.onc.1209533.
- 23.
Wakana K, Akiyama Y, Aso T, Yuasa Y: Involvement of GATA-4/-5 transcription factors in ovarian carcinogenesis. Cancer Letters. 2006, 241: 281-288. 10.1016/j.canlet.2005.10.039.
- 24.
Cai KQ, Caslini C, Capo-chichi CD, Slater C, Smith ER, Wu H, Klein-Szanto AJ, Godwin AK, Xu X-X: Loss of GATA4 and GATA6 Expression Specifies Ovarian Cancer Histological Subtypes and Precedes Neoplastic Transformation of Ovarian Surface Epithelia. PLoS ONE. 2009, 4: e6454-10.1371/journal.pone.0006454.
- 25.
Yurchenco PD, Amenta PS, Patton BL: Basement membrane assembly, stability and activities observed through a developmental lens. Matrix Biology. 2004, 22: 521-538. 10.1016/j.matbio.2003.10.006.
- 26.
Sherwood DR: FOS-1 promotes basement membrane removal during anchor cell invasion in C. elegans. Cell. 2005, 121: 951-962. 10.1016/j.cell.2005.03.031.
- 27.
Bassi DE, Lopez De Cicco R, Cenna J, Litwin S, Cukierman E, Klein-Szanto AJP: PACE4 Expression in Mouse Basal Keratinocytes Results in Basement Membrane Disruption and Acceleration of Tumor Progression. Cancer Research. 2005, 65: 7310-7319. 10.1158/0008-5472.CAN-05-1213.
- 28.
Ulazzi L, Sabbioni S, Miotto E, Veronese A, Angusti A, Gafa R, Manfredini S, Farinati F, Sasaki T, Lanza G, Negrini M: Nidogen 1 and 2 gene promoters are aberrantly methylated in human gastrointestinal cancer. Molecular Cancer. 2007, 6: 17-10.1186/1476-4598-6-17.
- 29.
Kuk C, Gunawardana CG, Soosaipillai A, Kobayashi H, Li L, Zheng Y, Diamandis EP: Nidogen-2: A new serum biomarker for ovarian cancer. Clinical Biochemistry. 2010, 43: 355-361. 10.1016/j.clinbiochem.2009.10.012.
- 30.
Rodrigues S, De Wever O, Bruyneel E, Rooney RJ, Gespach C: Opposing roles of netrin-1 and the dependence receptor DCC in cancer cell invasion, tumor growth and metastasis. Oncogene. 2007, 26: 5615-5625. 10.1038/sj.onc.1210347.
- 31.
Meimei L, Peiling L, Baoxin L, Changmin L, Rujin Z, Chunjie H: Lost expression of DCC gene in ovarian cancer and its inhibition in ovarian cancer cells. Medical Oncology. 2011, 28: 282-289. 10.1007/s12032-009-9400-z.
- 32.
Liggett TE, Melnikov A, Yi Q, Replogle C, Hu W, Rotmensch J, Kamat A, Sood AK, Levenson V: Distinctive DNA methylation patterns of cell-free plasma DNA in women with malignant ovarian tumors. Gynecologic Oncology. 2011, 120: 113-120. 10.1016/j.ygyno.2010.09.019.
- 33.
Radpour R, Kohler C, Haghighi MM, Fan AXC, Holzgreve W, Zhong XY: Methylation profiles of 22 candidate genes in breast cancer using high-throughput MALDI-TOF mass array. Oncogene. 2009, 28: 2969-2978. 10.1038/onc.2009.149.
- 34.
Radpour R, Barekati Z, Kohler C, Lv Q, Bürki N, Diesch C, Bitzer J, Zheng H, Schmid S, Zhong XY: Hypermethylation of Tumor Suppressor Genes Involved in Critical Regulatory Pathways for Developing a Blood-Based Test in Breast Cancer. PLoS ONE. 2011, 6: e16080-10.1371/journal.pone.0016080.
- 35.
Jerónimo C, Costa I, Martins MC, Monteiro P, Lisboa S, Palmeira C, Henrique R, Teixeira MR, Lopes C: Detection of Gene Promoter Hypermethylation in Fine Needle Washings from Breast Lesions. Clinical Cancer Research. 2003, 9: 3413-3417.
- 36.
Hoque MO, Feng Q, Toure P, Dem A, Critchlow CW, Hawes SE, Wood T, Jeronimo C, Rosenbaum E, Stern J: Detection of Aberrant Methylation of Four Genes in Plasma DNA for the Detection of Breast Cancer. Journal of Clinical Oncology. 2006, 24: 4262-4269. 10.1200/JCO.2005.01.3516.
Acknowledgements
This work was supported by Research Grants from the National Science Council, Taiwan (NSC 102-2221-E-006-236)
Declaration
The funding for the paper publication was supported in part by Research Grants from the National Science Council, Taiwan (NSC 102-2221-E-006-236)
This article has been published as part of BMC Systems Biology Volume 7 Supplement 6, 2013: Selected articles from the 24th International Conference on Genome Informatics (GIW2013). The full contents of the supplement are available online at http://www.biomedcentral.com/bmcsystbiol/supplements/7/S6.
Author information
Affiliations
Corresponding author
Additional information
Competing interests
The authors declare that they have no competing interests.
Authors' contributions
JH supervised the study, and participated in its design and coordination and helped to draft the manuscript. WS developed the methodology, wrote the software, wrote the manuscript and design the study. Both authors read and approved the final manuscript.
Rights and permissions
This article is published under license to BioMed Central Ltd. This is an Open Access article distributed under the terms of the Creative Commons Attribution License (http://creativecommons.org/licenses/by/2.0), which permits unrestricted use, distribution, and reproduction in any medium, provided the original work is properly cited. The Creative Commons Public Domain Dedication waiver (http://creativecommons.org/publicdomain/zero/1.0/) applies to the data made available in this article, unless otherwise stated.
About this article
Cite this article
Cheng, WS., Chiang, JH. CGPredictor: a systematic integrated analytic tool for mining and examining genome-scale cancer independent prognostic epigenetic marker panels. BMC Syst Biol 7, S10 (2013). https://doi.org/10.1186/1752-0509-7-S6-S10
Published:
Keywords
- High-Grade Serous Ovarian Cancer
- Invasive Breast Carcinoma
- DNA methylation
- Epigenetic Clustering


